Tiangang? AO-DSTDP
高效硫代酯類抗氧劑
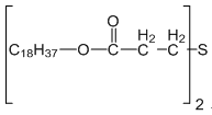
| 化學名稱 | 硫代二丙酸二硬脂酸酯 | 
| CAS號 | 693-36-7 | 
| 化學結構 |  | 
| 主要用途及特性 | Tiangang? AO-DSTDP是一種高效的硫代酯類輔助抗氧劑,廣泛添加于有機化合物中,抑制聚合物的熱氧老化,防止由于熱氧老化導致的機械強度下降、粉化等現象的發生,具有極佳的長效熱穩定效果。本產品可以與酚類主抗氧劑一同使用效果更佳。本產品具有高效、低揮發、低顏色影響的特點,特別適用于聚烯烴,如聚乙烯、聚丙烯、聚丁烯和其他高聚物,如聚甲醛、聚酰胺、聚氨酯、聚酯、聚氯乙烯、聚苯乙烯及各類彈性體及涂料等高分子材料。 | 
 
產品性狀
| 外觀 | 分子量 | 熔 點, oC | 閃點, oC | |
| Tiangang? AO-DSTDP | 白色粉末 | 683 | 63.5 - 68.5 | 257 | 
 
儲存與包裝
| Tiangang? AO-DSTDP | 本品易吸潮,需要在密閉、干燥、避光的清潔環境中保存。 紙板箱/桶或紙塑復合袋內襯塑料袋,25公斤/件。也可根據用戶需要進行不同規格的包裝。 | 
相關資質
- 國家級高新技術企業
- 中國塑料加工工業協會,副會長單位
- 中國農用塑料應用技術學會農塑制品分會,副會長單位
- 全國塑料標準化技術委員會 老化方法分會,委
- 美國塑料工業協會SPI,會員單位
